728x90
반응형
MST 란?
- Minimum Spanning Tree 최소 신장 트리이다.
- 간선의 가중치를 고려 하여 최소 Spanning Tree 를 만든다.
- 싸이클이 없는 연결된 무방향 그래프를 트리 라고 한다.
- 모든 정점들이 연결이 되어 있어야 된다.
- 가중치의 합이 최소가 되어야 한다.
- 해가 유일하진 않다.
- 최소 비용을 찾는 트리이기 때문에 동일한 가중치의 간선이 있을경우 해가 여러개가 될수 있다. - Kruskal 알고리즘, Prim 알고리즘 이 있다.
- MST를 들어가기전에 Spanning Tree 를 알고가야한다.
Spanning Tree
- 신장트리라고 한다.
- 그래프의 모든 정점을 가지는 트리이다.
특징
- 트리의 특징은 모두 포함된다.
- 하나의 그래프는 여러 Spanning Tree 를 가질 수 있다.
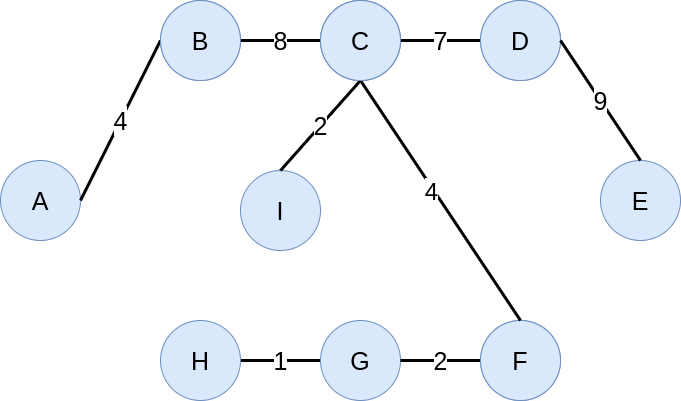
그림설명

MST 의 구조 및 생성 방법
N 개의 도시가 있고 도시를 연결 하는 방법은 다양하다.
최소 비용으로 도시들을 연결하고 싶다 이럴때 MST 알고리즘을 쓰면된다.
MST 를 만드는 순서는 다음과 같다.
- 1. A 집합을 만든다
- 2. 가중치가 적은 Edge을 찾는다.
- 3. 찾은 Edge를 A에 추가 했을때 Cycle이 생기는 지 판단한다 .
- 4. Cycle이 생기는 경우 패스한다.

완성된 MST

MST 알고리즘
순서
- 1.처음에는 A 집합을 만든다.
- 2. A = 0 이다. 공집합이다.
- 3. 집합 A에 대해서 안전한 에지를 하나 찾은후 A에 더 한다.
- 4. 에지의 개수가 n-1 개가 될때 까지 3번을 반복한다.
안전한 Edge 란?
A 에 (U,V) 를 추가 했을때 A 가 어떤 MST의 부분 집합이 될 경우 (U,V) 는 A에 대해서 안전하다고 한다.

안전한 Edge 찾기
- Cut: 그래프의 정점들을 2개의 집합 S 와 S를 제외한 나머지(V-S) 를 CUT 이라고 한다.
- Corss: (U,V)가 있을때 U 는 S 집합에 속하고, V 가 V-S 집합에 속했을때 Cross 라고 한다.
- Respect: Cross 하지 않을때 존중 한다고 한다.
- Cross 되는 것 또는 Respect 엣지는 안전하다고 한다.

Kruskal 알고리즘
https://vprog1215.tistory.com/158
[Algorithm] Kruskal
Kruskal MST를 만드는 알고리즘 입니다. 적은 비용으로 노드를 연결하는 것이 핵심입니다. 알고리즘 순서 에지들을 오름 차순으로 정렬한다. 에지들을 그 순서대로 하나씩 택한다. 싸이클 검사를
vprog1215.tistory.com
Prim 알고리즘
https://vprog1215.tistory.com/206
[Algorithm] Prim
Prime 이란? MST를 만드는 알고리즘 중 하나입니다. Kruskal 과 다른점은 시작점을 기준으로 만들게 됩니다. Prime 알고리즘 S 집합: 현재까지 선택된 노드들 S - A: 선택 되지 않은 노드들 핵심 선택한
vprog1215.tistory.com
728x90
반응형
'Algorithm > 알고리즘 기본' 카테고리의 다른 글
| [Algorithm] 탐색문제 재귀로 구현해보기 (1) | 2021.08.16 |
|---|---|
| [Algorithm] Kruskal (0) | 2021.08.11 |
| [Algorithm] DAG(Directed Acyclic Graph) (0) | 2021.08.03 |
| [Algorithm] Graph Traversal BFS, DFS (1) | 2021.07.22 |
| [Algorithm] Graph (0) | 2021.07.21 |
댓글